[摘要]随着全球可持续发展理念的深化及中国“双碳”目标的提出,环境、社会和公司治理(ESG)逐渐成为企业高质量发展的重要抓手。本文以2018年与2022年中国A股上市公司为样本,基于华证ESG评级及财务数据,实证检验企业ESG实践对其外在信誉的影响机制及发展趋势。研究表明,企业ESG程度与外在信誉呈显著正相关,企业规模、总资产净利润及营运能力正向调节ESG与企业外在信誉的关系,而资产负债率则呈现负向调节作用。进一步对比发现,2022年ESG对信誉的促进作用较2018年显著增强,印证了政策引导下各主体对ESG重视程度的提升。研究结论为:ESG实践转化为企业无形资产提供了实证支持,并为优化ESG投入策略、强化监管与市场协同提供了理论依据。
[摘要]“以数治税”在提升税务征管效能的同时,也为企业税务风险管理带来了新的挑战。针对“以数治税”背景下企业的常见税务风险问题,企业应从完善系统功能、提高“业财税融合”水平、健全内部控制体系、确保涉税业务处理合规、强化税务风险管理意识、提升财税人员综合业务能力等方面加强税务风险管理。
[摘要]近年来,高校办学规模不断扩大、科研能力持续加强,其文化传承、社会服务、国际交流、继续教育四大职能共同发力,推动高校高质量发展,同时,高校面临的财务风险日益凸显。内部控制是高校提升现代化治理水平的重要抓手,也是高校防控财务风险的主要手段。在数智化时代来临之际,高校应顺应时势,进一步优化内部控制体系,有效防控财务风险。
[摘要]随着城市化进程的加快,地方政府需要投入大量资金用于基础设施建设和公共服务配套,如道路、桥梁、学校、医院等。这些建设项目通常投资大、周期长,需要持续的资金支持。积极探索地方政府债务扩张对区域金融风险的影响,能够为地方政府债务管理工作提供参考。基于此,本文从分析地方政府债务扩张的原因展开论述,分析了地方政府债务扩张对区域金融风险的影响,并提出了相应的改善措施,以期为地方政府债务管理提供参考。
[摘要]科技型中小企业在推动经济高质量发展中扮演着重要角色,但其发展常受限于融资难、融资贵问题。传统融资模式依赖抵押担保和财务指标,难以契合这类企业轻资产、高风险、高成长性的特点,导致资金支持不足。本文从会计视角出发,分析科技型中小企业的融资现状及困境,探讨其融资模式创新面临的挑战。会计信息是对企业财务状况的综合反映,是金融机构评估信用风险的重要依据。通过改进会计核算方法、完善信息披露机制,可提升会计信息透明度与可信度,从而增强企业融资能力。
[摘要]我国经济飞速发展,企业市场竞争日益激烈,随着企业经营风险的增大,企业破产清算成为市场经济中资源配置的重要机制。本文通过研究破产清算中的会计处理规范及其经济影响,系统分析资产估值、债务清偿顺序等关键环节的会计规范要求,探讨现行准则在企业破产清算特殊情境下的适用性与局限性。研究发现,规范的会计处理能够提升清算透明度,保障债权人权益,但实践中存在估值偏差较大、信息不对称等问题,可能引发资产流失或利益分配不公等经济后果。本文旨在研究企业破产清算中会计处理规范对市场经济的影响,根据当前问题提出有效的冲突协调机制,以推动企业破产清算的顺利进行,维护市场经济的可持续发展。
[摘要]在我国税收征管体系持续革新的进程中,“金税四期”的全面推进标志着税收征管正式迈入数字化、智能化的崭新时代。中小企业作为我国经济结构中的重要组成部分,其纳税合规性对企业自身的稳健发展以及整体营商环境的优化意义重大。然而,面对“金税四期”全新的监管模式与技术手段,中小企业在纳税管理方面面临诸多挑战。本文结合中小企业的经营特点与财税管理现状,系统地构建了中小企业纳税合规计划框架,并提出了具有针对性和可操作性的风险控制策略,以期助力中小企业在“金税四期”背景下实现纳税合规与风险防控的有机统一,促进企业的可持续发展。
[摘要]行政事业单位国有资产作为国家资产的重要组成部分,是政府履行公共服务职能、推动社会事业发展的物质基础。基于此,本文首先阐述了行政事业单位国有资产管理风险防范的重要性,其次从制度、思维、技术、监督等方面探究其风险成因,最后通过提出完善制度体系、构建智能化管理平台、健全监督问责机制、提升人员专业化水平等一系列内控措施,旨在提高行政事业单位国有资产管理水平,保障国有资产安全与有效利用。
[摘要]财务审计能够确保企业的财务报表真实可靠,揭示企业运营中存在的风险,为管理层提供决策依据。企业通过提升财务审计的实效性,能够更有效地发现运营中的薄弱环节,及时提出改进建议,有效防范潜在风险。基于此,本文阐述了增强财务审计实效性的意义,分析具体影响因素,并有针对性地提出提升策略,包括创新审计方法、加强审计人员培训、增强审计独立性以及充分应用审计结果等,旨在提高财务审计实效性,推动企业可持续发展。
[摘要]在大数据技术与新会计准则的双重要求下,高校不断调整财务管理监督工作,积极推动新会计准则的有效落实。本文探讨了新会计准则对高校大数据财务管理监督的影响及优化策略。新会计准则要求经济交易与关联方交易分开处理,采用货币计量,明确会计事项的记账基础。与原有会计准则相比,新准则更注重资产质量,要求如实反映单位实际财务状况。新会计准则由基本准则、具体准则与应用指南构成,强调以收益相关性为基础的会计计量,并要求反映经济实质。本文构建了高校大数据财务管理监督模型,运用灰色关联分析法建立数据分析模型,结合财务收入与支出情况,对资金使用情况进行监督。在新会计准则背景下,高校大数据财务管理监督需健全财务收支制度,提升资金使用效率,推动各部门与新财务管理体系相融合,全面监控预算执行情况,为高校财务管理监督工作提供指导,提升其综合效能。
[摘要]新时代,党和国家高度重视审计工作,内部审计是高校内部治理的核心内容之一。本文从新时代高校内部审计面临的新形势出发,针对当前高校开展内部审计的现状及面临的问题,对照“如臂使指、如影随形、如雷贯耳”(以下简称“三如”)的审计工作要求,提出高校内部审计工作发展路径建议,以期为我国高校内部审计工作提供理论探索和实践借鉴,助力高校实现科学发展和内部管理的现代化。
[摘要]在数字化转型背景下,企业内部控制面临着数据安全风险加剧、系统集成断层、风险评估滞后及人才结构错配等挑战。本文通过分析数据治理、系统控制、风险评估及人员能力四大核心问题,提出构建“技术 + 制度”双维治理体系、打造全链路控制矩阵、开发敏捷化风险引擎及推行“人机协同”能力升级计划等优化策略。研究表明,数字化转型要求内部控制从被动响应转向主动赋能,通过技术嵌入与流程再造实现风险管控的实时化、智能化与动态适配。企业需以数据安全为底线、以系统融合为支撑,以敏捷治理为手段、以人才升级为保障,构建适应数字化生态的新型内部控制体系,从而在提升运营效率的同时,强化战略风险抵御能力。
[摘要]事业单位作为社会服务部门,能够为保证国民生活质量提供坚实的保障。在推动事业单位健康发展的过程中,财务内控管理发挥着重要的作用,但是当前事业单位在这方面还存在一些不足之处,严重影响了财务部门职能作用的发挥。基于此,本文以事业单位财务内控管理优化的重要意义为切入点,分析了事业单位财务内控管理面临的问题,以此为依据提出了相应的优化措施,主要包括明确财务内控管理目标、建立完善的财务内控管理制度体系、完善事业单位财务管理信息化平台、增加与之配套的监管与奖惩机制等,旨在为事业单位提供有益的借鉴和参考。
[摘要]本文系统探讨了科研事业单位财务管理信息化建设对提升管理效能的战略价值,构建“技术赋能—流程优化—效能提升”的逻辑框架。研究提出四大核心策略:通过柔性化系统架构实现业务动态适配,借助智能风控体系保障资金安全合规,依托跨领域人才培养机制提升管理能力,建立持续优化机制推动系统迭代升级。研究发现,信息化建设可有效重构预算管理流程、打破信息孤岛、强化风险防控、赋能科学决策,为科研事业单位构建智能财务管理体系提供理论支撑与实践路径。
[摘要]在数字经济深度渗透企业运营的背景下,管理信息化已成为重构企业会计与税法合规管理模式的核心驱动力。本文立足企业管理实践,系统分析管理信息化对会计核算效率、税务合规风险防控、业财税协同机制的影响路径,提出以顶层架构设计为引领、以业财税系统整合为支撑、以数据驱动流程再造为关键、以多维保障机制为依托的合规管理体系构建策略。研究通过理论推演与实践案例相结合的方法,论证信息化技术与合规管理的深度融合逻辑,为企业应对数字化转型中的合规挑战提供可操作的实施框架,助力提升企业治理现代化水平。
[摘要]随着“互联网 + ”战略的深入推进,高校财务管理面临数字化转型的迫切需求。本文针对高校传统财务报销流程烦琐、效率低下、信息不对称等问题,结合互联网技术发展趋势,探讨如何通过信息化手段优化财务报销工作。研究提出从技术、流程、管理三个层面构建“无接触式”报销体系,实现业财数据互联互通,提升财务服务质量与管理效能。通过案例分析验证优化策略的可行性,以期为高校财务管理数字化转型提供参考。
[摘要]随着会计行业数字化转型的推进,中小企业逐步引入会计信息化系统,旨在提高财务管理的效率和准确性。本文探讨了会计信息化对中小企业税务合规管理的影响,分析了信息化管理带来的正面效果及面临的挑战。研究发现,会计信息化能显著提升税务管理效率、降低税务合规风险、优化税务合规流程。然而,在会计信息化的实施过程中也面临着高昂的成本、数据安全风险复杂以及专业人才缺乏等问题。基于以上分析,本文提出了优化建议,旨在帮助中小企业更有效地应用会计信息化技术,提升税务合规管理水平。
[摘要]随着互联网技术的快速发展,我国已经进入大数据时代,政治、文化、经济等领域随处可见大数据技术的应用,大数据俨然成为社会各界创新及发展的新趋势及焦点。在进入大数据时代后,企业核心竞争力主要体现在大数据技术的应用上,如何借助大数据技术创新并转变经营管理模式,成为企业现代化发展的重要趋势。而将大数据技术融入企业财税管理的不同环节中,推进业财税的深度融合,成为企业提高自身经济效益及社会效益的必然选择,本文结合大数据时代业财税融合管理的价值意蕴,深入探究其实践逻辑,提出科学合理的优化策略。
[摘要]信息技术的发展使得企业在经营过程中面临着更多挑战,迫使其需要进行转型才能应对激烈的市场竞争。业财融合作为一种新型的财务管理模式,为企业财务管理转型创造了有利的条件。但是企业在推行业财融合的过程中陷入了极大的困境中,为此,需要从管理会计的角度出发,积极探索有效的应用策略,以发挥业财融合的有效作用。文章在明确管理会计与业财融合的关系后,分析了管理会计视角下企业业财融合存在的问题,并依次为依据提出了相应的策略,包括明确管理会计发展方向、建立信息共享机制、基于业财融合开展财务分析、提高业财融合人员综合素质等,旨在为企业提供有益的参考和借鉴。
[摘要]随着电力工程的快速发展,隐蔽工程审计呈现出复杂性、多样性和隐蔽性等特点,增加了审计难度。隐蔽工程的审计直接关系到电力工程的安全性,因此提高电力工程隐蔽工程审计的合规管理水平与效率至关重要。本文探讨区块链技术在电力工程隐蔽工程审计中的实践应用。从电力工程隐蔽工程审计的现状与面临的挑战入手,分析区块链技术的引入契机,并进一步阐述了其在电力工程隐蔽工程审计中的角色定位和实践应用,最后基于实践应用过程中存在的挑战提出相应策略,以期为提高电力工程隐蔽工程审计的效率与效果提供参考。
[摘要]内部审计是推动企业高质量发展的重要手段。随着新一代信息技术的快速发展,尤其是在建筑行业竞争趋于激烈的市场环境下,传统的内部审计模式已经无法满足信息化带来的重大且繁杂的信息处理要求,建设内部审计数字化管理系统势在必行。本文以A建筑公司为例,在深刻探究A建筑公司建设内部审计数字化管理系统动因基础上,提出构建以审计数据仓库为核心,涵盖内部审计管理、内部审计分析以及内部审计风险预警的数字化管理系统运行模式,并从重塑公司组织架构、加强数据安全管理以及强化内部审计数字化管理意识三个方面强化保障措施,以此提升A公司内部审计数字化管理系统建设水平。
[摘要]数字化时代的到来转变了企业传统财务管理工作模式,对企业财务信息化建设提出了更高的要求。基于此,本文对数字化时代背景下企业财务信息化建设路径展开研究,结合企业财务信息化建设面临的挑战以及必要性分析,从基础设施建设、财务信息系统、财务共享服务中心、业财融合、人才队伍建设以及信息安全等方面,提出针对性建设路径,旨在为推动企业有序落实财务信息化建设、提升财务信息化建设水平提供参考依据。
[摘要]本文探究数字经济背景下产业结构优化与升级路径,阐明数字技术浪潮中产业结构转型的必然性,解构数字经济催化产业形态演进的内在逻辑——数字技术选代刺激产业基因突变、跨领域产业协同重构价值网络、消费需求数字化牵引供给变革、生产要素智能化重组提升配置效能,揭示当前转型进程遭遇的技术迭代瓶颈、高端人才缺口、制度供给滞后、数字基建区域失衡等现实问题,提出适配性解决方案:加速核心数字技术攻关、构建数字化人才引育体系、完善数字经济治理框架、推进新型基础设施均衡布局、培育数字消费应用场景创新集群,为数字经济时代产业能级跃迁提供方法论支撑与政策设计蓝图。
[摘要]随着国家出台一系列大力发展冰雪旅游经济的政策,新疆凭借其得天独厚的自然条件和丰富的冰雪资源,正迅速发展成为我国重要的冰雪旅游目的地。本文以新疆5S级滑雪度假区为切入点,分析了新疆冰雪旅游产业的发展现状,剖析了当前面临的主要问题,并探讨了新质生产力赋能新疆冰雪旅游产业发展的路径。
[摘要]为了更好地响应新质生产力的发展要求,实现建设农业强国的战略目标,项目组以YTNT公司作为研究样本,通过文献分析法和访谈等方式,从ESG理论视角分析了YTNT公司的发展方式和做法,探讨ESG理念下YTNT公司的绿色发展之路,分析YTNT公司的环境效益、社会效益和治理效益的实施路径。本研究期望帮助更多农业企业找到自身绿色发展的道路,优化组织架构,强化绿色协作,挖掘绿色潜力,为构建可持续发展的农业生态系统奠定坚实基础。
[摘要]为减少温室气体排放与全球气候变化带来的自然灾害,各国正逐步推动经济向低碳模式转型,通过绿色金融创新引导资本流向环境友好型项目,促进资源的绿色配置,实现可持续发展。绿色金融作为推动低碳经济发展的重要工具,在中国碳市场发展中具有重要作用。然而在绿色金融助力碳市场发展的过程中仍面临过度依赖政策驱动、监督核查机制不完善、绿色项目评估标准不统一以及公众意识与企业责任感不足等挑战。本文提出绿色金融助力中国碳市场发展的有效的路径及策略,以促进中国碳市场的健康发展,推动绿色金融与碳市场的深度融合。
[摘要]出于能源安全与环境保护等需求,各国新能源汽车产业的竞争日趋激烈,如何提升我国新能源汽车的国际竞争力成为亟待解决的问题。本文以中国新能源汽车产业为研究对象,分析其国际竞争力。结果表明,我国新能源汽车产业的国际竞争力正逐渐增强,但与日本、美国与欧盟相比仍有提升空间。基于研究结论,本文对如何提高我国新能源汽车产业的国际竞争力提出了对策建议,包括加大研发投入力度与技术创新、构建自主全球化供应链体系、积极开拓国际市场以及增强品牌核心竞争力。
[摘要]随着数字技术的飞速发展,数字普惠金融在吉林省乃至全国范围内得到了广泛应用,其在扩大金融服务覆盖面、降低金融服务成本、促进经济包容性增长方面发挥了重要作用。本调研通过对四平市的问卷调查探讨数字普惠金融促进居民消费结构升级的策略。
[摘要]高质量发展是全面建设社会主义现代化国家的首要任务。乡村旅游是推动经济增长的重要选择,是赋能吉林省经济高质量发展的应有之义。在分析吉林省发展乡村旅游的土地资源优势、政策优势、现状及存在的问题后,本文提出乡村旅游建设应突出特色,树立品牌;合理规划,实现可持续发展;完善硬件、提升软件,加强全民素质教育;合理规划线路,串点成线,留住客人。多措并举,为吉林省经济高质量发展注入新的活力,使乡村旅游成为推动吉林省经济高质量发展的新引擎。
[摘要]现阶段,数字化转型已成为经济市场发展的重要基调,同时推动了消费者行为、心理的变化,也为精准化、智能化、互动化的新型市场营销模式构建提供了有利条件。当前,市场主体在构建、实施新型市场营销模式的过程中仍面临些许问题,如数据安全、技术壁垒、用户黏性不足等。基于此,本文首先分析了数字化转型背景下新型营销模式的特点和构建现状,继而对症下药,提出新型市场营销模式构建策略,旨在为市场主体实现精准营销、提升市场竞争力提供参考。
[摘要]随着互联网技术的飞速发展与应用,数字经济正逐渐成为推动乡村振兴的重要力量。沈阳作为东北地区的重要城市,在数字经济赋能乡村振兴方面取得了显著成效。通过分析数字经济的推动作用、沈阳乡村数字经济的发展现状以及面临的挑战,探讨沈阳乡村数字经济如何赋能乡村居民消费升级,提出具体的策略建议。通过数字经济赋能,沈阳乡村居民的消费水平将得到显著提升,进而促进乡村经济的全面发展。
[摘要]近年来,中国城镇化进程显著加快,城镇化率从2000年的 36.22% 增长至2024年的 67% 这一进程深刻改变了能源需求结构和供给体系,但对能源安全提出了新的挑战。本文从产业结构和能源价格的双重视角,系统分析了城镇化对能源需求结构和能源价格波动的影响机制。研究表明,城镇化通过推动从工业向服务业的产业结构调整,显著降低了单位GDP能耗,优化了能源需求结构,但城镇化率每提高 1% ,能源需求仍增加 0.82% ,表明城镇化对能源安全提出了新的挑战。此外,城镇化显著加剧了能源价格波动,城镇化率每提高 1% ,能源价格波动幅度增加 0.6% ,而能源价格波动对能源安全的综合影响指数为 -0.42 ,总体上对能源安全产生负面影响。基于此,本研究提出了优化城镇化模式、促进能源结构优化、完善能源价格调控机制、加强能源安全体系建设以及推动城乡融合发展的政策建议,以在保障能源安全的前提下实现经济增长。
[摘要]本文探讨农业产业化的数智化转型,分析其推动效能、面临阻碍及破茧之路。数智化转型通过提升生产效能、保障农产品品质安全、优化经营管理模式和提高农业资源利用效率,为农业发展带来新机遇。然而,转型面临基础设施与技术、成本效益、人才意识、标准政策等方面的挑战。为推动农业产业化数智化转型,需夯实基础设施与技术创新根基,重塑成本效益结构,构建人才培养与意识提升机制,完善标准政策体系协同保障机制。农业产业化数智化转型虽面临挑战,但积极应对可增强农业竞争力和可持续发展能力,助力乡村振兴战略实施。
[摘要]随着我国“3060”“双碳”目标的提出,绿色保险作为支持碳中和战略实现的重要金融工具,在推动经济社会绿色转型中发挥着独特作用。基于此,本文围绕碳中和背景下绿色保险创新发展问题展开研究,系统分析我国绿色保险的发展现状和主要特征,深入探讨当前绿色保险发展面临的产品创新不足、服务模式待优化、科技支撑能力不足等问题。在此基础上,从加强产品创新、优化服务模式、推进数字化转型三个维度提出了促进绿色保险创新发展的对策建议。
[摘要]宁夏在“一带一路”中具有独特的地缘与贸易地位,本研究以宁夏进出口数据为切入点,研究中国银行业对接“一带一路”的潜在机遇与风险。通过分析宁夏进出口数据,探讨银行业面临的机遇,同时剖析存在的风险,包括共建国家政治、经济环境不稳定带来的信用、市场风险等,旨在为银行业把握机遇、防范风险提供依据,促进银行业在“一带一路”倡议下实现可持续发展,更好地支持中国与共建国家的经贸往来。
[摘要]乡村振兴战略促进农村集体经济组织在推动农村经济社会发展,以及在促进农业产业融合和增加农民收入中发挥着越来越重要的作用。本文通过指出农村集体经济组织在乡村振兴中的重要性及其面临的资金和资源限制,详细分析了海南农村集体经济组织与社会资本的合作现状,最终提出了可行的合作模式,如股份合作制、产业投资基金和农业产业链一体化模式。
[摘要]数字化转型已成为全球企业发展的必然趋势,其通过数字技术与实体经济的深度融合,对传统企业工商管理模式产生了系统性冲击。本文基于数字化转型的技术特征与企业管理实践,从管理理念、业务流程、决策方式三个维度分析数字化转型对企业工商管理模式的影响机理,进而提出针对性的创新路径:制定差异化数字化战略引领转型方向,构建敏捷扁平的组织架构提升适应能力,打造数据驱动的运营体系优化业务流程,培育复合型数字化人才队伍强化智力支撑,建立全流程风险管理机制保障转型安全。本文旨在为企业适应数字经济发展、实现工商管理模式升级提供理论参考。
[摘要]数字化背景下,企业管理优化是一种必然,也是确保其不被社会淘汰的唯一选择。然而,在数字化背景下,企业管理优化面临着一系列问题,如方向不明、组织结构僵化、人才短缺等。本文针对企业管理优化中存在的一系列问题,提出战略转型、组织转型、人力资源转型、财务管理转型等策略,并从技术驱动、业务流程再造、生态合作和文化转型等方面探索了企业管理转型路径。旨在为企业管理提供全面、深入且具有可操作性的理论支持和实践指导,助力企业在数字化环境中脱颖而出。
[摘要]本文聚焦于烟站信息化转型这一主题展开深入的探索与实践研究,以毕节市七星关区金海湖标准化烟叶工作站作为典型案例进行剖析。在全国烟草行业积极推进信息化转型的宏观背景下,毕节市烟站依据自身实际状况,从管理、组织、技术等多个维度探索并设计了具体的转型方案。该方案在投入金海湖烟站实践应用后,提高了烟站工作效率、工作质量以及经济效益,这不仅为其他烟站的信息化转型工作提供了参考与借鉴,同时也有力地推动了毕节地区烟叶站的现代化发展。
[摘要]在数字经济的背景下,传统信息化存在如信息孤岛、效率低下、决策支持不足等痛点。而系统思维的理论具有整体性、关联性、动态性等特点,运用此理论的相关概念可以解决传统信息化的痛点。本文研究了系统思维与企业信息化建设结合的必要性,对传统企业信息化建设存在的问题进行了分析,尝试构建了基于系统思维的企业信息化建设路径框架,进而指导企业信息化建设,以期实现企业资源的整体优化配置,达到企业的战略目标。
[摘要]在全球数字化浪潮推动下,跨境电商市场规模持续扩张,同时面临市场碎片化、运营成本高、跨文化营销难度大等挑战。人工智能凭借强大的数据处理与分析能力,为跨境电商营销变革提供了新路径。基于此,本文首先指出了人工智能应用于跨境电商营销的必要性,其次分析了人工智能对跨境电商企业营销策略的影响,最后有针对性地提出了基于人工智能创新跨境电商企业营销策略,旨在为跨境电商企业提供理论参考与实践指导。
[摘要]当前保险人才培养存在学科融合度弱、产教融合深度不足以及教学方式与人才需求脱节等问题。基于新文科背景,提出构建“主体多元、过程协同、持续改进”的“新保险”人才培养机制,通过优化课程体系、强化校企合作、完善教学内容等路径,实现产业链、创新链与教育链的有效衔接。“新保险”人才培养机制显著提升了保险专业人才培养质量,增强了服务社会能力,并获得了行业高度认可,为高校保险人才培养提供了有益借鉴。
[摘要]加强数字政府建设是推进国家治理体系和治理能力现代化的重要举措,而培育和提升基层公务员的数字素养是关键性议题。本文探讨了基层公务员数字素养的定义、构成要素与形成机制,以及当前存在的主要问题,并基于知识螺旋理论提出具体提升路径。
[摘要]以会计信息管理专业为切入点,深入探究职业教育中高职本贯通人才培养体系的深度构建,通过剖析该体系的特点、现存问题,提出具有针对性的优化对策,旨在推动职业教育中高职本贯通人才培养模式的完善,提升会计信息管理专业人才培养质量,使其更好地契合社会经济发展对高素质技术技能人才的需求,为职业教育高质量发展提供有益参考。
[摘要]研发创新作为提升企业核心竞争力的关键驱动因素,不仅依赖企业资源的投入与分配,还受到高管行为模式与激励制度设计的显著影响。因此,本文聚焦高管薪酬黏性与企业研发创新之间的关系,通过理论分析与实证检验,揭示薪酬黏性如何在稳定管理者行为与推动创新投资决策中发挥作用,为优化薪酬激励制度和提升企业创新能力提供理论依据与实践指导。
[摘要]在当今数字化时代,大数据技术已经成为推动企业发展的重要力量,特别是在人力资源管理领域,大数据的应用不仅可以提高管理效率,还能为企业带来更精准的决策支持。本文针对大数据在人力资源管理中的应用价值进行深入探讨,分析当前企业人力资源管理存在的问题,并提出基于大数据的人力资源管理优化策略,包括拓展招聘渠道、打造个性化培训体系、利用大数据进行绩效考核、完善激励机制、打破数据壁垒以及运用大数据分析预测趋势,有助于提升企业人力资源管理水平,实现人才战略与企业发展的高度匹配。
[摘要]在“三教”改革全面深化的形势下,高职院校的“教”与“学”呈现出更为复杂和系统的互动关系。面对技术快速迭代和岗位能力需求多元化的挑战,高职院校如何优化人才培养路径成为推动职业教育转型升级的关键命题。因此,本文以高职院校人才培养为切入点,并结合“三教”改革理念,提出通过培养场景、模式、平台赋能与评价机制构建一个具备开放性、融合性与发展性的系统,从而提升高职学生的综合职业能力,并增强其学习的参与度与持续性。
[摘要]随着经济全球化和信息技术的快速发展,社会对财经类专业人才的需求日益多元化,传统的人才培养模式已难以满足时代需求。鉴于此,本文从产学研融合的视角出发,探讨产学研融合对财经类专业人才培养的意义,分析当前高校财经类专业人才培养中存在的校企协同育人机制不完善、人才培养目标与产业需求脱节、师资力量薄弱以及科研成果转化率低等问题,并提出了相应的对策。
[摘要]应用型强调以实际应用为导向,注重将理论与实践相结合,其特质体现为能够适应社会实际需求、具备较强实践能力和解决实际问题的能力。嵌入式实践作为一种创新的理实融合方法,对提升学生的实践能力以及促进课程与专业的应用化建设具有较好的成效。本文在分析嵌入式实践内涵及作用的基础上,以应用型市场营销专业为具体研究对象,对该模式的实施现状及存在问题进行闸述和分析,探索并提出嵌入式实践的具体实施路径,以保证该方法在市场营销专业更好地发挥作用。
[摘要]高职院校财经类人才培养模式建设具有系统性、整体性与挑战性的特点,需要宏观政策与院校实践的同步迭代更新。随着新一代信息技术的迅猛发展和广泛应用,数实融合已成为推动经济社会发展的重要趋势。这一趋势不仅改变了传统财经行业的运作模式,也对财经类人才培养提出了新的要求。在数字化时代背景下,高职财经类人才面临着前所未有的挑战与机遇。一方面,他们需要不断提升自身的数字化素养,以适应数字化办公、数据分析、智能财务管理等新兴岗位的需求;另一方面,数字化也为高职财经类人才提供了更广阔的发展空间,如跨境电商、金融科技等新兴领域,为他们的职业发展创造了更多可能性。本文旨在探讨数实融合的背景和趋势,分析高职财经类人才在数字化时代所面临的挑战与机遇,以期为相关机构和企业提供有益的参考和启示。
[摘要]金融强国建设对金融人才培养提出了政治化、分层化、数字化、实践化、跨界化、国际化的新要求,但当前金融专业人才在培养方向、培养模式、培养过程、实践环节等方面存在诸多困境。本文针对以上困境提出发展特色培养方向、形成“三位一体”育人模式、建设“五化融合”培养体系、打造多元协同实践环节等育人成效提升路径,为培养高素质金融人才、推动金融强国建设提供参考。
[摘要]在重庆经济转型的关键期,“33618”现代制造业集群与新质生产力培育对技术技能人才提出了复合型、创新型需求。本文基于职普融通理论,结合重庆二元经济特征,分析人才链与产业链的适配矛盾,构建“三维联动·四阶递进”的适配机制,通过课程重构、评价革新、校企协同等路径,实现职普教育与区域经济的动态适配,为西部职教基地建设提供实践范式。
[摘要]随着信息技术的飞速发展,数字技术与政务服务深度融合,作为政务服务的重要组成部分,行政审批服务数字化改革如火如茶,数字化赋能成为提升行政审批服务质量的重要途径。本文分析数字化赋能对行政审批服务质量提升的重要意义,探讨数字化赋能行政审批服务面临的挑战,并尝试提出加强顶层设计与规划、优化审批流程与服务模式、促进数据共享与协同以及强化信息安全与保障等行政审批服务质量提升的路径。
[摘要]本文探讨了新媒体视域下“一站式”学生社区管理模式的实施及其对教育领域的影响。随着新媒体技术的发展,学生获取信息和交流沟通的方式发生了根本变化,促使学生社区管理模式从传统向线上转变,以适应新时代的需求。“一站式”模式通过集成化服务平台整合资源,提供全面、高效、便捷的服务,从而创造一个更为舒适的校园生活环境。本文详细分析了新媒体对学生社区管理的影响,“一站式”模式的特点,以及实施该模式的策略,包括利用新媒体工具优化信息流通、构建有效的学生参与平台以及加强跨部门合作实现资源整合,旨在为高校学生社区的管理提供新的视角和思路,以更好地满足新时代学生的需求和期待。
[摘要]在中国行政体系中,乡镇政府是最基础的层级,是与社会基层联系最密切的一站。乡镇政务服务运行效率和成本如何直接影响国家与社会、政府与公民之间能否建立良好关系。然而,我国乡镇基层政府由于基础设施建设不健全、窗口队伍力量薄弱、服务方式单一等原因,“互联网 + 政务服务”建设还有很多问题需要解决。本文在“互联网 + 政务服务”的相关研究基础上,指出促进基层政府“互联网 + 政务服务”发展的意义,深入查找乡镇基层政府“互联网 + 政务服务”建设过程中的难题,并从多个维度分别提出具体的建议,以此提升政务服务的质量和效率,更好地推动乡镇基层政府“互联网 + 政务服务”改革的发展。
[摘要]近年来,电子政务通过政务流程再造提升了公共服务效率,使政府工作更加流畅便捷,成为改革的关键手段。本文通过分析2003—2023年国务院政府工作报告,发现我国政府对电子政务的注意力虽有所提升,但仍偏低。因此,我国政府须加大注意力配置,坚持政府主导作用,激发市场多元活力,推动电子政务便捷化、智能化转型。
[摘要]在产业融合加速推进的背景下,数字资源库作为支撑多产业协同发展的核心基础设施,其协同开发已成为推动产业数字化转型的关键环节。基于此,本文深入剖析了当前主要协同开发模式,如政府主导型、企业联盟型、产学研合作型、平台生态型等存在的利益分配不均、协调成本高、技术标准不统一等问题。在此基础上,从顶层设计与战略协同、平台构建与技术集成、资源汇聚与生态培育、流程优化与敏捷开发四个维度,构建了基于产业融合的数字资源库协同开发路径,以期为破解跨产业协同难题、提升数字资源库的综合效能提供参考。
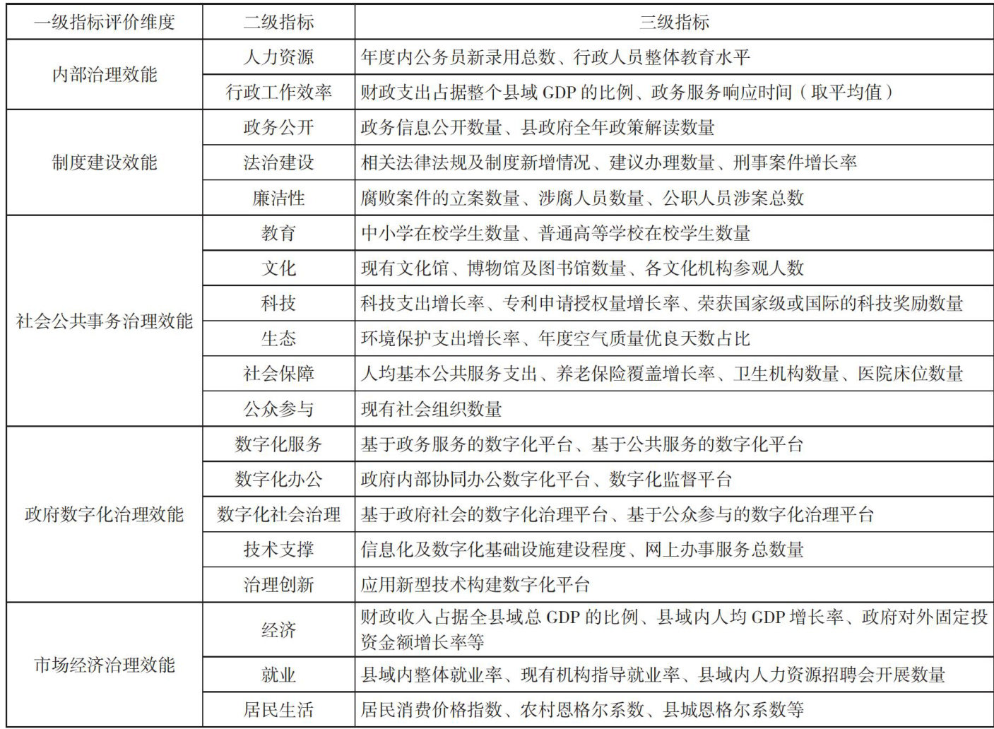
[摘要]本文深入分析了县域政府治理效能评价指标体系的应用现状。因为受诸多因素影响,原有评价指标体系难以真实反映县域政府治理效能,所以提出运用熵值法与灰色综合评价相结合的方式,构建能够精准分析县域政府治理效能的评价指标体系。依据评价结果,确定县域政府治理效能方面所存在的各种问题以及取得的成果,进而对现有治理措施、策略等加以调整,旨在实现以数字技术赋能县域政府治理再造与模式优化。
[摘要]随着教育信息化2.0时代的深入推进,高校学生管理工作面临着从传统模式向数字化、智能化转型的迫切需求。本文基于高校学生管理实践,系统探讨信息化体系构建与平台建设的核心逻辑与实施路径。研究表明,通过构建科学的信息化体系架构、整合多源数据资源、优化管理流程,能够显著提升学生管理的效率与精准度,推动教育管理服务的数字化升级。本文结合当前高校管理痛点,从体系构建策略与平台建设路径两个维度展开分析,以期为高校推进学生管理信息化提供理论参考与实践指导。
[摘要]在现代城市发展中,社区治理日益成为提升社会治理水平的重要环节。城市社区多元权力主体和谐治理模式强调政府、社会组织和居民等多方主体的协同合作,以实现资源的最优配置和治理效能的最大化。本文主要在阐述城市社区多元权力主体现状的基础上,包括对现有治理模式特点以及具体存在的问题进行详细说明。从政府、社会以及居民角度出发,对其和谐治理的具体策略进行概括总结。由政府牵头,通过积极引导居民参与社区事务,使社区组织得到专业支持,形成良好的治理生态,从而解决社区矛盾、提升服务质量,在促进可持续发展方面取得显著成效。探索适合本地实际的和谐治理路径,建立更为科学的评估机制,能够为未来社区治理提供重要参考。
[摘要]大数据环境下,高校安全素养的提升成为高校管理工作的重要组成部分,有利于维护高校意识形态安全。本文通过探讨高校安全素养的数字化管理体系,强调了优化高校安全素养数字化管理的价值,指出当前高校安全素养在数字化管理方面存在的管理系统碎片化、数据应用不足、评价监管缺失及管理协同不足等问题。最后,针对这些问题,提出具有针对性的解决方案,如搭建统一数据平台、提升管理平台上“云”用“数”能力、构建高校安全素养数字化管理监管体系以及加快跨部门响应速度等,以期为高校安全素养的数字化管理提供创新思路和参考借鉴。
[摘要]在公共服务体系不断完善的背景下,事业单位作为提供公共服务的核心主体,其业务运行的规范性与效率直接影响公共资源配置成效。本文聚焦事业单位业务层面内部控制,弱化财务会计核算相关内容,重点围绕预算管理、采购管理、资产管理、合同管理四大核心业务环节,剖析当前关键控制点存在的设计缺陷与执行漏洞,从流程重构、权责划分、监督强化等维度提出与问题一一对应的优化路径,旨在提升事业单位业务内控的系统性与有效性,为防范业务风险、保障公共服务质量提供理论支撑。
[摘要]随着金融科技的飞速发展,数字化转型已逐渐成为银行业发展的必然趋势。银行数字化转型不仅大幅提升了银行业务的处理效率与客户体验,也对信息安全管理提出了新的挑战与要求。本文探讨了数字化转型对银行信息安全管理的重要意义,并深入分析了在数字化转型过程中银行将要面临的信息安全管理风险,如合规性风险、技术安全风险、业务连续性风险和数据泄露风险等。针对这些风险,本文提出了针对性的实施策略,包括关注法律法规变化确保合规性、提升系统防护能力与员工技能、优化风险识别处理机制,以及完善数据管理机制等,旨在帮助银行降低成本、提高效率,增强银行在金融市场中的风险防控能力。
[摘要]近年来,我国高校科研经费的增加使固定资产数量激增,管理难度加大。为应对这一挑战,本文基于RFID物联网技术、MySQL数据库技术和Python编程,开发了一套智能追踪管理系统。系统通过树莓派平台结合PC端程序和设备感应,实现了固定资产的高效管理。与传统方法相比,本系统优化了设备状态查询、流动过程追踪、借用申请审批等功能,能够实时绑定资产、使用人和使用地点,实现全程智能追踪,为高校资产管理提供技术支持,推动校园智慧化管理。
[摘要]在数智时代,高校图书馆在信息素养教育中面临着新的机遇与挑战。数智赋能图书馆信息素养教育,主要体现在数智技术对素养教育资源、内容、方法等的重新构建,以及数智技术赋予素养教育的新思维和构建模式。本文在分析数智时代高校图书馆信息素养教育面临的机遇与挑战的基础上,进一步从教育内容重构、教育方法创新、教师能力提升,以及教育评价方式变革等方面对数智时代高校信息素养教育进行了策略与发展研究,并提出今后高校信息素养教育应该从数据挖掘、智能技术融合等角度谋求更好的创新与发展。
[摘要]AI技术的发展,将社会推进到了智能化时代,对高校图书馆的变革创新也产生了不容忽视的影响。将AI技术应用到高校图书馆知识服务中,能够优化知识服务方式,推动知识资源的建设与共享,提高用户对知识服务的满意度。本文从图书馆知识服务的内涵着眼,分析了AI技术赋能高校图书馆知识服务的价值意蕴,并从智慧空间、智慧咨询、智慧资源等方面,探讨了AI技术赋能高校图书馆知识服务的实践路径。
[摘要]探明储量是油气生产企业的核心资产,对于油气生产企业的决策和战略规划具有至关重要的作用。探明储量数据涵盖了探明储量的新增、复(核)算、结算、可采储量标定等,然而,由于数据来源的多样性、数据质量的不确定性以及数据治理的复杂性,探明储量数据的管理和治理一直是一个具有挑战性的任务。对此,本文对西南油气田探明储量多源异构数据治理技术进行探索,以西南油气田数据湖为载体,重构探明储量多源异构数据治理体系,以促进西南油气田更好地管理和利用储量数据,提升探明储量数据资产化管理水平。
[摘要]油田地面建设作为石油勘探与开发的重要环节,其安全环保管理直接关系到企业的生产效益、员工的生命安全以及生态环境的保护。本文通过分析加强油田地面工程建设安全环保管理对企业可持续发展、生态平衡、事故预防等方面的重要性,旨在探讨油田地面建设安全环保管理体系的构建与优化策略。当前油田地面工程建设安全环保管理体系仍存在较多问题,本文提出了针对性的优化策略,以期为油田地面建设安全环保管理体系的优化提供有益的参考与借鉴。
[摘要]新增探明储量气藏描述报告具有涵盖面广、工作量大、主要依靠科研人员手工编写的特点。为解决报告编制过程中易出现术语描述不规范、效率低等问题,并满足新增探明储量描述报告数字化和智能化的需求,笔者在调研储量报告特性分析的基础上,提出基于在线配置报告数据,开展报告智能生成方法研究。该技术可实现网络端在线配置报告数据,快速智能生成报告。同时,基于报告智能生成的业务流程,设计了储量报告智能生成系统。该项技术能有效减少人工误差和降低科研人员生成报告的难度,具有较高的准确性和较强的可扩展性,能够满足不同类型储量气藏描述报告编制的需求。
[摘要]“十四五”期间,随着数字化油气田建设的持续推进,物探数据档案管理工作正顺应数字化浪潮面临转型挑战。伴随地震工作量的增长及采集、处理技术的发展,物探领域产生了海量数据,这些数据是油气资源评价与勘探开发决策的核心基础。然而,在物探数据档案质量管理实践中,数据缺失、信息不准确等问题逐渐凸显,已成为企业数字化转型的关键瓶颈。为提升物探数据档案管理效能与质量,充分释放数据价值,促进数据资源高效流通共享,西南油气田公司勘探开发研究院档案管理部门以业务逻辑与空间关系为核心抓手,构建了物探数据档案质量治理体系,建立起规范科学的质控管理机制,有效提升了数据质量与可靠性,推动物探数据资源综合利用水平迈上新台阶,为企业高效勘探与决策提供了坚实的数据支撑。
[摘要]本研究基于物联网的设备信息化管理技术,为实现设备的信息化管理提供保障,全面保证设备的维护效果。该技术以物联网为核心,设计基于物联网的设备信息化管理系统架构;系统采集模块利用多源传感器采集设备运行数据,经由5G网络模块传送至设备管理模块中,管理模块以管理硬件为核心,实现设备的远程管理,判断设备的健康指数,依据该结果进行设备维护。测试结果显示,该技术能可靠获取设备的运行数据,确定设备的运行状态,依据评估结果即可针对性开展设备维护或者检修,保障设备运行安全。
[摘要]生成式人工智能技术进入快速发展期,对高校内部审计模式产生巨大冲击,其工作机制和适配性对内部审计模式有较强的重构效应。本文介绍生成式人工智能的技术局限性及重构路径的可行性、实践挑战与未来发展方向,以期为内部审计模式的创新提供参考。