摘要:基于预训练语言模型的法律问答系统无法灵活理解用户的意图,且缺乏外部知识的整合,难以达到预期的效果。为此,该文提出了基于法条库的细粒度刑法问答数据集(Fine-grained Criminal Law Question Answering,FCL-QA),并基于该数据集,提出了基于大语言模型的法条检索增强问答框架(Statutory Articles Retrieval Aug-mented Question Answering Framework,SaRAF)。其核心思想是通过多等级分类定位到问题所属的主题,通过主题缩小法条的范围便于进行检索,并最终利用大语言模型生成答案。实验结果表明,SaRAF框架优于无法条生成与传统检索增强生成(Retrieval-augmented Generation,RAG)的方法,在FLC-QA数据集上取得了 42.27% 的ROUGE-LF1分数 .27.78% 的BLEU-4分数和 72.52% 的BERTScore分数。
摘要:细粒度情绪识别模型采用几十种情绪类别对人类情绪进行建模,能够比传统模型更准确地捕捉人们表达的细微情绪。然而,现有的情绪预测模型并未充分考虑到数量众多的细粒度情绪之间存在的复杂相关性。针对这一问题,本文提出了一种融合VAD(Valence-Arousal-Dominance,效价-唤醒-支配)知识的情感分布增强细粒度情绪识别方法(VAD Emotion Distribution Augmented Fine-grained Emotion Recognition,EDAER)。EDAER模型采用情感分布建模VAD空间中情绪的相关性,结合文本语义信息与心理学先验知识进行细粒度情绪识别。EDAER模型包括语义信息模块、情感分布信息模块和融合预测模块。语义信息模块通过预训练的BERT(Bidirectional En-coder Representation fromTransformers)模型提取文本的语义特征;情感分布信息模块基于VAD距离度量情绪间的相似度,为情感词生成情感分布;融合预测模块则利用注意力机制将文本语义信息与情感分布信息整合,并实现情绪预测。在GoEmotions数据集上的实验结果表明,EDAER模型的宏平均F1值达到 51.75% ,优于使用情感词典作为外部知识的KEA(Knowledge-Embedded Attention)模型和采用情绪层级关系作为外部知识的HGCN-EC(Hierar-chy Graph Convolution Networks based Emotion Recognition)模型。特别是在三个样本量较少的情绪类别上,EDAER的F1值显著高于其他模型。实验结果验证了通过情感分布建模VAD空间中情绪的相关性,可以有效学习罕见情绪的相关知识,从而提升模型对细粒度情绪的识别能力。
摘要:本文主要研究了一类满足齐次Neumann边界条件的具有时滞Holling-I型捕食-食饵系统。首先,以时滞参数作为分支参数,研究时滞效应对该系统正常数平衡点稳定性的影响,得到了产生Hopf分支的条件;其次,借助偏泛函微分方程的中心流形理论和标准型方法,得到了Hopf分支的方向和分支周期解的稳定性;最后,通过运用MATLAB软件的数值模拟功能,对文内所提出的理论结果进行了检验。
摘要:在度量 G -空间中介绍了 G -链连续点和 G -极限跟踪性的概念,利用等价映射和交换群的性质,研究了 G- 链连续点和 G -极限跟踪性的动力学性质,得到如下结果:(1)在度量 G -空间中给出 X 中每个点是 G -链连续点等价条件:映射f是 G -等度连续的并且f具有 G -跟踪性; (2)G -扩张性和 G -跟踪性蕴涵 G -极限跟踪性。这些结果丰富了度量 G -空间中 G -链连续点和 G -极限跟踪性的理论。
摘要:本文主要考虑 ? -Sylvester矩阵方程 AXB+CX*D=E 的重构问题。通过分离矩阵的实部和虚部,在一定条件下可将广义\*-Sylvester矩阵方程重新表述为广义Sylvester矩阵方程,以便更好地构造数值算法。关键词:广义 ? -Sylvester矩阵方程;广义Sylvester矩阵方程;重新表述
摘要:超图的规范化拉普拉斯张量在涉及超图模型的多类聚类问题中有着广泛的应用。本文证明了如果 H 是rank (H)=m 的连通一般超图,则 H 的邻接张量谱是对称的,当且仅当m是偶数且 H 是奇着色的。在此基础上,利用一般超图的奇着色性,给出了一般超图的规范化拉普拉斯张量谱半径为2的刻画。
摘要:属性约简是形式概念分析的重要研究问题,寻求高效的属性约简方法也是关注热点。本文在形式背景中引入矩阵粗糙熵,探讨对象导出三支概念格(Object-induced Three-way Concept Lattce,简称OE-概念格)上基于矩阵粗糙熵的属性约简方法。首先将OE-对象粒矩阵与粗糙熵相结合,定义OE-概念格的OE-矩阵粗糙熵,基于OE-对象粒矩阵的相似性提出OE-矩阵相似熵,研究它们的性质;其次在形式背景上定义OE-概念格的矩阵粗糙熵协调集和矩阵粗糙熵约简集,给出基于矩阵粗糙熵的协调集判定定理;利用OE-矩阵相似熵引入属性的重要性度量,进一步给出获取矩阵粗糙熵属性约简的方法和算法;最后在UCI(University ofCalifomia,Irvine)数据集上进行属性约简实验,对于属性量小于10的数据集和属性量大于10的数据集,约简时间分别平均缩短了 69.1% 和 97.5% 进而验证了该算法更适用于大样本数据。
摘要:僵尸网络通过域名生成算法(Domain GenerationAlgorithms,DGA)能够动态生成大量难以预测的域名,从而规避传统静态监测机制,提升恶意活动的隐蔽性与持久性。随着DGA技术的不断演进,传统检测方法面临的挑战愈加严峻。如何高效识别与防范此类域名成为网络安全领域的关键问题。本文系统分析当前主流的DGA检测技术,涵盖基于统计特征、机器学习及深度学习的方法,深入探讨其工作原理、适用场景与性能表现,揭示现有研究在误报率、计算复杂度、数据集规模及新型DGA适应性等方面的不足。最后,本文提出深度学习优化与跨域协同检测的创新方向,并结合流量行为分析与生成规律阻断机制,构建多层次、综合性的DGA防御体系,为提升检测技术的有效性、准确性与适应性提供新思路。
摘要:在推荐系统中,由于用户评分和交互频次存在长尾分布特性,导致长尾物品特征提取困难,现有的方法或者过多关注尾部物品,忽略其与头部物品的联系,或者忽略社交网络对用户偏好的影响,从而影响了推荐效果。因此,本文提出一种融合社会影响扩散的长尾推荐模型LoSidi(Long-tail Recommendation method Incorporating So-cial InfluenceDiffusion)。首先对于每个用户,通过对目标用户各层社交邻居的采样聚合,并结合其已交互的热门物品生成用户兴趣嵌入。其次通过计算长尾物品与用户已交互头部物品间的相似性挖掘长尾物品的潜在特征。最终,LoSidi模型构建用户与长尾物品间的联系,对长尾物品进行评分预测和推荐。在常用数据集上的实验结果表明,本文提出的模型可显著提高用户推荐列表的新颖性和多样性。
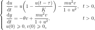
摘要:本文研究了玻色-费米混合管模型中费米子的手性边界流,在混合管中,玻色-费米相互作用会引起玻色子和费米子密度的调制,所以我们重点关注不同的玻色子状态(超流或Mott绝缘体)在密度发生微扰时对费米子手性边界流的影响。基于精确对角化和密度矩阵重整化群,计算了体系基态的费米流序参量。本文发现当玻色子处于超流态时,玻色-费米相互作用会驱动费米边界流从迈斯纳流变成涡旋真空相分离(V-PS,)和涡旋满带相分离(V-PS2 )。当玻色子处于Mott态时,玻色-费米相互作用则将迈斯纳流驱动为另一种涡旋相分离(V-PSs)。最终展示了体系随着相互作用变化的流相图。我们发现的三种新流相丰富了流相的种类,为进一步研究人造规范场和相互作用共存所诱导的奇异手性流提供了理论支持。
摘要:双层莫尔过渡金属硫族化合物(Transition metal dichalcogenides,TMDCs)可形成周期性的莫尔超晶格,是研究电子关联态和新型激子态的重要研究平台。具有I型能带匹配的转角TMDCs异质结形成的莫尔层间激子,其自旋-能谷自由度不仅能被静电感应、应力、衬底等因素调控,更受到莫尔势的深度调制,共同促进了高度可调谷电子学器件的研究。本文制备了分别位于铂(Pt)薄膜衬底和二氧化硅( SiO2? 衬底的H堆叠( 60° 转角)二硫化钨/二硒化钨( WS2/WSe2) 异质结器件。通过低温下对两种衬底的莫尔异质结进行光致发光(Photoluminescence,PL)光谱、光致发光激发(Photoluminescence excitation,PLE)光谱以及谷极化的测试,发现在电荷掺杂可以忽略的情况下,层间激子在Pt衬底上更加局域化,并且其谷极化随激子浓度增加更容易饱和。本项工作中,Pt薄膜作为金属接触的同时也是一种人工引入的缺陷,其对异质结谷极化的影响为以莫尔层间激子为基础的光电子学应用提供了参考。
摘要:本文利用标准的库仑修正强场近似方法(Coulomb-corrected strong-field approximation,CCSFA),即动量均匀采样CCSFA方法,和改进的时间均匀采样CCSFA方法对氩原子的阈上电离过程进行了研究。结果表明,两种采样策略计算得到的光电子动量谱和能谱基本一致,但是,由于两种方法得到的多次返回再散射电子的相对贡献不同,导致计算结果在光电子谱的高能部分有定量差别。通过分析,我们发现标准CCSFA方法在动量空间的采样是均匀的,但是对应到时间域却是不均匀的,其采样数量在激光场峰值处是极小值,这将导致在场峰值附近电离电子的贡献被低估。由于多次返回再散射电子的电离时间集中在激光场峰值附近,故其贡献在标准CCSFA方法中被低估。采用时间均匀采样方法则可以克服上述缺陷。
摘要:硼基反三明治团簇是一类新型复合团簇。团簇 Ta2B6 是其中一个典型体系,已报道的化学成键图像存在缺陷。本文运用一系列现代化学键分析工具详尽地研究团簇 Ta2B6 的化学成键和芳香性。研究结果表明:该团簇具有 6π/6σ 双重芳香性,它们均符合休克尔 (4n+2) 电子计数规则。该结论区别于文献中相关的 12π/4σ 电子计数。每个Ta中心保留2个近似非键5d电子,但不是孤对。团簇中没有显著的金属间相互作用。同时,团簇中B一B骨架o键显示一定程度的棱形Ta- ?B2 -Ta四中心两电子特征,而不是经典路易斯两中心两电子键,这种成键现象在分子体系中是鲜见的。本工作提出的成键模型有望拓展至其他反三明治团簇体系。
摘要:本文合成了水溶性Meso-四(磺酸丁氧基)苯基卟啉,研究了该叶啉在甲醇、水介质中与金属离子的络合反应。通过其与铜、锌、钴、铅及锰的乙酸盐在甲醇介质中反应制备了相应的金属叶啉,使用 1H NM NMR、紫外吸收光谱、荧光光谱及质谱对叶啉化合物的结构进行了表征,紫外吸收光谱和 1H NMR对金属卟啉的结构进行了表征。研究了其与铜、铅、镁、铝、镍、钴、锌、二价铁、三价铁等金属离子在水介质中的络合反应。实验结果表明:在水介质中,该叶啉能与铜离子迅速形成金属卟啉,利用这一特性通过紫外-可见光分光光度法建立了一种简便、快速的铜离子测量方法,铜离子的浓度在 2.67×10-7~11.0×10-7mol?L-1 内符合Lambert-Beer定律。实测了含铜不锈钢材料中多种金属离子共存状态下铜离子的含量,回收率达 93.10%~98.60% ○
摘要:近红外二(the Second Near-infraredI,NIR-II)区光声(Photoacoustic,PA)成像引导光热治疗(PhotothermalTherapy,PTT)具有增强穿透深度和提高信号强度等优势而备受关注。该方法可实现实时肿瘤诊断和原位治疗,在临床应用中具有显著优势。因此,迫切需要开发在NIR-II区具有临床转化潜力的光热材料。本文采用种子生长法制备了在NIR-II区具有强吸收的金纳米棒(GoldNanorods,GNRs),用于PA成像引导下的PTT研究。GNRs的光热转换效率高达 36.68% ,光热稳定性好。修饰后的聚乙二醇-金纳米棒(PolyethyleneGlycol-Gold Nanorods,GNRs-PEG),其细胞毒性较低,对小鼠乳腺癌细胞(4T1)细胞具有光热消融作用。建立原位乳腺癌模型,GNRs-PEG在4T1荷瘤小鼠体内具有良好光热治疗作用。此外,体内实验结果证明了GNRs-PEG通过PA成像引导的NIR-II区PTT消除肿瘤具有良好的治疗效果。本研究合成的GNRs-PEG作为NIR-IIPA造影剂,在成像引导下的癌症治疗中具有广泛的应用前景。
摘要:本文以电石渣为钙源,利用柠檬酸作为有机酸改性剂,同步掺杂硝酸铝的方法制备了一种抗烧结钙基吸附剂。利用X-射线衍射、氮气吸附和扫描电子显微镜对材料进行表征分析,使用热重分析仪进行 CO2 循环吸附性能测试。结果表明,相比p-CS、SG-CS吸附剂,掺杂质量分数为 10% Al的CS90A10吸附剂可观察到明显的 Ca3Al2O6 衍射峰,具有更丰富的介孔结构、更大比表面面积 (9.59m2/g) 和孔容 (0.017m3/g) )。由于CaO堆积颗粒含有大量高稳定惰性骨架成分 Ca3Al2O6 ,使得CS90A10吸附剂具有良好的抗烧结能力,经过30次长循环后吸附剂微观形貌和孔结构基本保持稳定, CO2 吸附量仅比初次循环下降 0.2g/g ,仍可达 0.33g/g ,碳酸化转化率达 54.97% ,显示了较高的结构和吸附性能稳定性。
摘要:恶性肿瘤严重危害人体健康,光动力疗法是一种集创伤小、副作用低、时空可控性高等优点于一身的新兴疗法,被广泛应用于恶性肿瘤的临床治疗,但其只限于局部肿瘤的治疗,对于远处转移的肿瘤或无法精确定位的病灶,光动力疗法具有一定的局限性。免疫治疗尤其是免疫检查点抑制剂,使恶性肿瘤的治疗进入了一个全新的时代,然而免疫检查点在肿瘤细胞中的低表达水平及其对宿主免疫系统的激活不足构成主要障碍。光动力治疗可以激活机体的免疫功能,改善肿瘤微环境,这为光动力疗法与免疫疗法相结合提供了可能。而纳米粒子可以同时负载光敏剂和免疫检查点抑制剂,实现联合治疗效果,并提高药物的靶向性。本文对利用纳米技术将光动力与免疫检查点抑制剂相结合治疗恶性肿瘤的实验研究进行了综述,并对其在临床上的应用进行了展望。
摘要:为提高 PM2.5 浓度预测精度,提出了基于季节趋势分解的时间序列混合预测模型(Hybrid-X12)。首先,使用季节趋势分解算法将 PM2.5 时序分解为趋势-循环、季节和不规则子序列;然后,分别使用自回归移动平均模型(Autoregressive IntegratedMoving Average Model,ARIMA)、长短期记忆网络(Long Short TermMemory,LSTM)和支持向量机(Support VectorMachine,SVM)对以上子序列进行预测;最后,集成子序列结果得到最终的预测结果。仿真实验选用华北地区主要六个城市 PM2.5 月浓度数据,平均绝对误差(MeanAbsoluteError,MAE)、均方根误差(Root Mean Square Error,RMSE)和一致性指数(Index of Agreement,IA)为模型评价指标。实验结果证明混合预测模型能明显提高预测精度,与传统单一模型ARIMA、LSTM和SVM相比,以北京为例,MAE分别降低了 18.72% 、60.14% 和 43.15% ,验证了季节趋势分解算法有助于时序季节趋势信息挖掘,针对不同特征子序列选择合适的算法充分发挥不同模型优势,为 PM2.5 浓度预测提供了新思路。
摘要:为探究脊线上发育的中山针阔叶林的群落学特征。采用典型样地法对武夷山国家公园进行植被调查,通过统计林下物种组成、多度、物种多样性和生物量,分析脊线物种多样性随面积的变化趋势与两侧坡向生物量的变化趋势得到脊线森林群落的部分特征。结果标明,脊线样地内共有维管植物24科43属67种,其中裸子植物2科2属2种,被子植物21科40属64种,共2889株。样地最小调查面积为 1500m2 ,鹿角杜鹃(R.latoucheae)、细齿叶柃(E.nitida)、箬竹(I.tesslatus)分别是乔木层、灌木层、草本层的优势物种。脊线两坡向物种丰富度指数显著差异,地上生物量大于地下生物量且脊线东南坡生物量大于西北坡生物量。脊线植物形态学特征普遍为个体胸径较小(平均 5.55cm ),高度低(平均 6.79m ),林分密度(1.45株 /m2 )较非脊线森林群落大,形成单一冠层,在物种组成和结构上具有独特性,与物种组成相似的中山矮曲林形成鲜明差异。本文首次系统揭示了武夷山脊线森林群落的独特结构特征,填补了脊线地形因子对山地森林生态系统影响机制的研究空白。