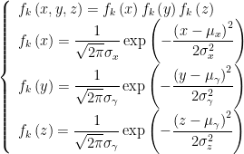
摘要:靶标是当下检验武器装备的试金石,针对靶标现状以及未来靶标的发展方向,根据当下全球快速发展的武器系统,对比分析了美、俄、欧、以等国的靶标发展历程和现状。将靶标进行分类,针对国外靶标制造商的成果,深入分析了几款典型靶标的设计理念以及训练中的关键作用。针对目前世界公认未来靶标的发展方向进行了探讨,归纳整理为隐身、通用性、集群飞行、高性能和智能化五个部分,对目前关键的技术突破提出了发展建议。
摘要:在概念设计阶段对无人机研制费用进行评估和控制,可提高无人机的效费比。通过构建以低研制费用为目标的无人机多学科设计与优化框架,开展在气动性能和质量约束下无人机的设计权衡,获得了考虑经济性的无人机方案和费用建议。优化框架基于 OpenMDAO 多学科分析优化流程,利用OpenVSP建立无人机几何和气动分析模块,使用偏最小二乘法构建研制费用估算模型,打通从无人机总体参数设计、多学科分析到研制费用优化的方案设计策略。通过对典型低成本高性能无人机进行权衡优化,结果显示在升阻比损失 6.53% 时,最大起飞质量减少了 8.17% ,研制费用缩减了 4.01% 。表明在概念设计阶段通过无人机总体参数设计优化,能够在达到气动和质量约束的同时保证低研制费用。验证了所构建的基于研制费用的多学科设计与优化框架的可行性,同时为无人机低研制费用方案设计提供了有效建议。
摘要:针对当前末端防空面临威胁目标特点及发展趋势,对末端防空的必要性,防空装备的现状与发展趋势等进行了重点分析,梳理了末端防空建设和发展需求,进一步结合激光武器的优势特点,结合末端防空的典型需求,开展了激光武器的作战运用设想等深化研究,为末端防空体系建设和发展提供了理论支撑。
摘要:空地火力协同是防空作战空地协同的重要协同方式,科学高效的空地火力协同样式、协同规则与流程控制等协同策略设计,可有效提高空地火力协同效能。按照空地协同武器平台间火力协同的交链度和协同复杂度,提出了战术级、跟踪级和制导级三类空地火力协同样式,给出了每类火力协同样式下的典型协同行动模式。据此提出了规范空地火力协同行动的分域使用火力、灵活调控火力和火力安全规避三类基本协同规则和具体准则,设计了空地火力协同主体、协同对象之间的协同控制流程与具体步骤,构建了空地火力协同评价指标体系。研究成果对防空作战空地协同架构设计和火力协同模型构建具有较高的应用价值。
摘要:作为一种新概念武器,电磁脉冲武器具有攻击速度快、覆盖范围广、效费比高、作战使用灵活等特点,是各国一直致力于研究的武器装备。阐述和分析了电磁脉冲攻击技术的研究现状,并从电磁攻击和战场防御2个角度对现阶段外军开展的电磁脉冲武器研究工作进行了概述和分析,并对电磁脉冲武器的研究重点和发展趋势进行了展望。
摘要:作战概念建模是为了完整、准确、清晰地描述作战概念,运用语言、符号、表格、图形等对想象的真实战争系统进行抽象和简化描述。目前常用概念建模语言方法对于未来大体系作战如空天防御作战等进行建模时会出现繁难和杂乱等问题。对象过程方法论(OPM)具有视图统一、面向对象和面向过程结合等优点。以自主提出的全域空天防御作战概念为例,对该概念做了简要介绍,针对传统方法在作战概念建模上的困难,基于OPM结合美国国防部体系结构框架DoDAF对作战概念建模方法进行了研究,将所提概念做了简洁清晰表达,并借助OPM分析了其中关联关系与作战流程,有利于下一步仿真模型正确建立。
摘要:近几场的世界战争和局部冲突表明,无人机集群作战给阵地防空带来了前所未有的威胁,并在深刻地改变着现代信息化战争,其必将成为未来战场的重要作战形式。针对无人机集群作战给核心阵地防空带来的空前威胁,分析了无人机集群作战的典型样式,以及无人机集群作战的软肋和弱点,在此基础上,以网电对抗力量为切入点,构建了反无人机集群作战的典型场景、梳理了网电对抗力量体系组成,按照“看得见-扰得上-防得住”的总体思路,研究分析了网电对抗力量反无人机集群作战的行动流程以及典型运用方法,为阵地防空反无人机集群作战提供了理论指导和技术支撑。
摘要:为适应信息化智能化空天防御体系作战效能生成模式和评估手段的变化,采用军事理论与技术实践融合赋能的方式,在分析基于订单的空天防御杀伤链运行机制的基础上,分别研究探索了基于系统论正负反馈机制和基于作战云的复杂网络分析两种杀伤链作战效能评估方法,用于量化评估未来空天防御作战中基于订单的杀伤链作战效能,描述空天防御作战中体系内部不同作战域作战要素间的复杂关联关系和动态耦合机制,进而为提升空天防御体系的整体作战效能提供数据支撑和理论借鉴。以空天防御杀伤链为例,验证了2种作战效能评估方法的可行性和有效性。
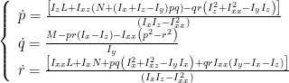
摘要:为降低弹射载荷并提高火箭的发射精度,提出了一种伸缩筒燃气弹射系统。基于理论分析和数值计算方法研究了该弹射系统的动力学特性。火箭出筒速度的仿真值和理论值的最大相对误差为 -0.98% ,验证了该弹射系统有限元模型的正确性。基于有限元模型,开展了该弹射系统的降压效果及发射角度、推力偏心和风载荷对火箭运动姿态和内筒振动响应影响的研究。结果表明:相比单筒弹射系统,该弹射系统的平均降压效果和最大降压效果约为 30.3% 和 35.1% ;发射角度、推力偏心和风载荷越大,火箭运动姿态与内筒振动响应越恶劣;其中,发射角度是影响火箭发射精度的主要因素,且发射角度对发射精度的最大影响效果是其他2个因素最大影响效果的 2.3~ 4.4倍。该研究成果可为伸缩筒燃气弹射系统的设计与优化提供参考。
摘要:针对现有无人机蜂群威胁评估方法存在的不足,提出了一种基于改进偏好顺序结构评估法(preference ranking organization method for enrichment evaluations,PROMETHEE)的无人机蜂群威胁评估方法。构建了无人机蜂群威胁评估指标体系,并构建隶属度函数进行量化;针对传统PROMETHEE方法存在的不足,构建了一种新的优势函数对PROMETHEE方法进行改进,建立了基于改进PROMETHEE的无人机蜂群威胁评估模型;通过仿真实验验证了所提方法的有效性。
摘要:刀片导弹兼具杀伤范围小、毁伤效应低的特点,适合特种作战任务。针对刀片导弹展开和收拢状态下自旋和流速对气动力的影响,研究了跨声速飞行时的气动参数变化规律应用滑移网格技术,将流场域划分为一个静止区域和包围弹体的旋转区域,并应用ICEMCFD前处理软件,采用多块拼接的方法,生成700万网格,设置了湍流模型和边界条件建立刀片导弹的仿真模型,对网格收敛性及时间步独立性进行验证后,开展刀片导弹展开和收拢时的气动特性研究,在不同马赫数和自旋速度条件下,计算弹体不同位置外部的流场压力分布规律。计算结果表明,气动参数随速度先增大后减小,在马赫数为1.2左右时达到最大值,对刀片导弹的研制具有一定的指导意义。
摘要:高速强机动目标的威胁日益加剧,为有效应对高速强机动目标空天打击,聚焦多弹协同探测与拦截覆盖技术,从覆盖机理、覆盖模型、协同算法等方面对中末制导交班和末制导阶段多拦截弹协同覆盖方法进行了系统分析,围绕"视场遮挡”"防碰撞”“博弈策略"“空间构型”“多目标优化”“群智能算法"6个关键问题进行了研究,拓展了多弹协同拦截的研究思路,为高速强机动目标拦截技术提供了参考和借鉴。
摘要:针对相控阵雷达导引头捷联波束稳定性能易受速率陀螺、波控系统等环节影响的问题,提出一种改进角速度补偿型捷联波束稳定方法,研究稳定环校正策略及原理,给出了工程化算法推导,构建出相控阵雷达导引头捷联波束稳定数学平台,对捷联波束稳定性能进行改善。通过数字仿真,验证了采用该方法能有效消除速率陀螺测量偏差、动态滞后、传输延迟以及波控系统执行偏差、传输延迟等因素对波束稳定性能的影响,能有效提升捷联波束稳定性能,且工程上易于实现。
摘要:针对多无人机航迹规划问题,对无人机与威胁区域进行数学建模,模拟出接近实际环境的场景,基于此设计一种多智能体强化学习的动态场景航迹规划算法(dynamic scene trajectory planningalgorithm based on multi-agent reinforcement learning,DSTP-MARL),用于实现多架无人机的智能航迹规划,该算法通过有效避开威胁区域,保障无人机安全到达目标地点,优化任务执行路径。为验证算法性能,将DSTP-MARL与深度Q网络(deepQ-network,DQN)进行对比,实验结果表明,无论在简单还是复杂威胁区域中,DSTP-MARL均表现出更优的避障能力与任务完成效果,在收敛速度、过程稳定性方面,DSTP-MARL相较于DQN有明显优势,能够更快收敛且更加稳定,有效提升任务执行效率,展现出更高的实用价值与应用前景。
摘要:导弹在飞行过程中,其雷达散射截面积(radarcross section,RCS)随着姿态角的变化而快速变化,利用两者之间的对应关系,提出了一种基于粒子群优化算法(particle swarm optimization,PSO)的导弹目标姿态角反演方法。该方法通过最小化观测RCS数据与姿态角反演得到的RCS数据的均方误差得到估计的目标姿态角,理论分析表明,在假定目标姿态角短时间内不发生突变的前提下,提出的方法可以实现对目标姿态角较为精确的估计。通过执行一系列仿真实验,验证了所提方法能有效反演导弹目标姿态角序列。
摘要:SAR成像可以精确定位静止目标,但对于运动目标会因多普勒频率导致几何位置偏移。利用动目标SAR成像这一特点,结合寻的测量定位结果,对比二者测量结果,从原理上推导出运动目标判别方法,为机载、弹载等观测时间短、体积小的目标识别系统提供了一种仅发射单一LFM波判别目标是否运动的方法,为后续对抗无源欺骗干扰(角反、箔条)打下基础。建立了雷达对水面目标观测的SAR成像模型,分析了SAR成像机理;阐述了雷达寻的模式与SAR成像模式下对动目标位置测量效果的差异,并推导出利用该差异识别运动目标的方法;仿真结果表明新方法能够在有限图幅数条件下表现出良好探测效果。
摘要:分布式雷达作为新体制雷达,有着机动性强、信噪比增益高等特点,其雷达架构可分为开环架构和闭环架构2种,前者因为拥有更高的适用性和潜力,是近些年来研究的热点。开环架构分布式雷达实现的难点在于时间、相位同步误差和基线标定误差等误差因素导致单元雷达信号的退相参化。由于分布式雷达的孔径稀疏性,难以有效地对开环架构下的误差进行校正。针对上述问题,分析了开环架构下的误差因素,建立了相应的误差模型。为了更高效地实现对误差的估计,提出了一种基于粒子群算法的误差估计方法,最终通过仿真实验验证了方法的正确性,获得了合成效率与标校信噪比的对应关系,为分布式雷达开环架构的工程实现提供了参考。
摘要:针对无线通信系统易在强电磁脉冲的影响下损坏的问题,以吸盘天线及其接收回路为例,对无线通信系统接收端的强电磁脉冲耦合效应及防护设计进行了研究,利用CST软件建立吸盘天线模型并仿真其耦合电压,再利用ADS软件输入耦合电压,并对接收回路各端口耦合电压进行测试。针对耦合电压的时频域波形,设计了由浪涌防护器件、PIN限幅电路、滤波电路组成的三级防护电路。经仿真验证,针对 6000V 的天线耦合电压,经过防护电路后,输出电压仅为 1.2V 左右,插入损耗小于3dB,且防护效果可达 73dB ,远超一般防护效能,能够很好地起到防护作用。
摘要:为最大程度设计具备高任务可靠性智能设备,在冗余热备理念的指导下,采用模块化数据构建方式,设计出一种全国产化状态的高可靠发控数据处理设备。通过嵌入式软硬件协同编程方式构建功能模块,确保双主机满足多种总线形式的外部冗余通信需求。内部控制逻辑实现过程中,将故障监测逻辑与信息交互流程融入发控软件中,采用基于远程判别的三重心跳检测机制及基于任务的数据同步方法实现主备切换,最大程度上确保切换流程稳定可靠。通过拷机验证、故障模拟和可靠性建模的计算该设备可靠性指标,测试结果表明:设计的基于双主机冗余的高可靠发控数据处理设备可实现故障监测和主从机件核心数据实时共享,保证单主机故障后发射任务进一步实施。与单主机相比,任务可靠度提升 23.6% 。
摘要:针对无人机在方向约束条件下的有限时间定点编队控制问题,提出了一种基于方向信息的无人机有限时间定点编队控制方法。该方法仅依赖于相对方向信息,旨在确保无人机在预定的有限时间内实现目标编队。相较于现有控制方法,提出的策略引入了随时间变化的缩放增益机制,允许用户自定义收敛时间,并确保控制输入导数的连续性。研究还给出了确保几乎全局收敛性和避免无人机碰撞的充分条件。通过引入领航者-跟随者控制结构,该方法能够实现全局收敛,并设计了梯度下降方法以确保无人机在有限时间内完成编队任务。最后,为验证控制方法的有效性,在Simulink和Gazebo平台上进行了仿真实验,实验结果证明了策略的有效性。
摘要:提出了一种改进周期图法的波浪功率谱分析方法,优化了谱估计的计算流程,提升了波高波周期等参数反演的速度。研究了波浪方向估计算法,利用雷达阵列测得的波面三点高度获取水面斜率,通过斜率及水面升沉变化的相互关系来确定波浪方向信息,简化了波浪方向反演的计算方法。与浮标数据对比实验结果表明,波浪参数反演方法与DatawellMkI波浪浮标的反演方法得到的波浪参数相关性达到 98.4% ,可以满足实际使用要求。
摘要:无人机传感器故障预测对于提高系统可靠性和安全性具有重要意义,然而,当前预测方法存在准确性不足和计算复杂度高等问题。针对无人机传感器故障预测问题,研究了一种基于改进鸽群算法(pigeon-inspired optimization,PIO)的随机森林故障预测算法。利用小波包变换(waveletpacket transform,WPT)对故障特征进行提取。利用莱维飞行机制形成变异机制以提高种群的多样性,进而改善PIO易陷入局部最优的问题,并提高算法收敛速度和全局寻优能力。将改进的PIO用于随机森林算法中使其进行自主超参数优化,从而实现传感器故障的早期预测。仿真结果表明,经过改进PIO调优后的随机森林算法收敛速度更快,相较于传统算法在准确率上提升了 20% 以上,表明了提出的算法在无人机传感器故障预测中的有效性和优越性。