摘要:为应对频繁的需求变动和技术迭代给机载电源管理软件升级带来的挑战,设计了一种基于F28335DSP的快速升级方案。其采用以太网和CAN总线的二级网络,实现电源管理软件的跨模块升级,避免拆机;采用上位机软件和升级配置文件,实现电源管理软件的大规模批量、自动化升级;采用BotLoader+App的运行模式,设计自动化运行状态切换,实现无感升级;采用打点日志技术,设计电源管理软件的日志记录功能,确保升级流程的可追溯性。实际实验表明,该方法可有效保证机载电源管理软件升级的便捷性、高安全性与高可靠性。
摘要:近年来,管带机已被广泛应用于物流输送领域,管带机控制系统从小型PLC控制方案逐步向中、大型PLC系统控制方案转变,同时面对自动化、智能化生产趋势的需求,智能控制的应用也应运而生,因此基于西门子S7-1500冗余硬件的智能控制系统在管带机中实现应用。现介绍智能控制系统在管带机控制系统上的应用,阐述了系统设计方案,分析了应用中的硬件组态、软件构成和各种智能控制功能。
摘要:针对当前变电站指针型仪表巡检过程耗时较长、人工判读可靠性较差等问题,提出基于树莓派平台的自动读数装置:以树莓派4B为核心控制板,结合工业相机、UPS电源及触摸屏构建便携式硬件系统。该装置采用轻量化目标检测模型快速定位仪表区域,通过Canny算子与霍夫圆变换实现表盘轮廓精确提取。提出基于形态学处理与骨架分析的指针定位算法,利用极坐标扫描确定指针端点,结合角度换算实现仪表读数。系统支持本地实时显示与远程数据上传,并具备阈值超限告警功能。
摘要:针对配电网继电保护系统面临的挑战,探讨了分布式电源接入对继电保护的影响及优化策略。通过分析传统继电保护的局限性,着重介绍了含分布式逆变电源(IIDG)配电网在三相短路故障下的自适应距离保护方案。 中图分类号:TM77 文献标志码:A 文章编号:1671-0797(2026)02-0014-04 DOI:10.19514/j.cnki.cn32-1628/tm.2026.02.004 0
摘要:在斜度介于 30°~50° 的陡峭山坡上新建铁塔是普通山区架空输电线路塔位施工作业的难点,主要存在铁塔基础开挖土方量过大、塔基施工稳定性和维护难以控制等现象。基于“安全第一、预防为主"的原则,在深入研究陡峭山坡上输电线路塔位陡坡作业的地质地貌特征的基础上,探究主动超前防控该问题的技术途径,提出了铁塔塔腿级差优化搭配抬高基础,铁塔长腿组合钢架并调整基础露头高度以满足铁塔及基础受力协调,塔位避让极限陡坡或铁塔长短腿结合连接钢架(直柱钢架、带裤裆钢架和钢塔架)等三层主动超前防控技术措施,并结合先进工程技术手段(如BIM地貌模型运用、新型混凝土制品运用等)细化防控措施。经验证,该主动超前防控措施实施后,陡峭山坡上塔基基础土方开挖量可减少 40%~60% ,低塔基础防滑稳定性系数可提升至1.3及以上,塔基施工安全事故率降低 35% ,运行维护管理成本每年节约 12%~18% ,有效提高了架空输电线路的安全运行维护质量和能效。该研究为指导陡峭山坡上铁塔基础高效快捷的施工建设提供了工程技术支撑。
摘要:针对复杂山区多线路协同停电施工中存在的工期紧张、资源协调难度大等问题,以大堰—箭流铺牵220 kV线路工程G37—G47区段为例,提出一种导地线展放施工组织与资源优化方法。通过构建“决策一执行一作业”三级管控体系,统筹多线路停电窗口,实现施工计划的动态调整与资源协同;结合设备选型匹配、材料分段运输与无人机一索道联合运输等措施,提升山区物资调度效率;引入张力一牵引力耦合控制模型与弧垂预偏补偿算法,确保展放过程中的技术参数精确控制。实施结果表明,该方法使导地线日均展放进度达0.51km(含紧挂线及附件安装),设备利用率提高至 92% ,弧垂偏差控制在 ±1.5% 以内,压接合格率达 100% ,实现了复杂地形条件下施工效率与安全质量的双重提升。
摘要:针对变电站施工过程中铜排绝缘采用明火、存在较高作业风险的问题,开展了铜排热缩管绝缘电加热装置的研制工作,该装置由机械本体结构和电加热控制系统两部分组成,可以实现快速高效恒温加热控制,从而显著降低现场作业的难度,同时避免因作业人员水平差异而造成质量不稳定的情况,实现高质量、低风险的铜排热绝缘化处理,对于确保电网检修、运维安全来说具有重要意义。
摘要:针对进口BFI板形控制器配件稀缺、维护成本高的问题,开展不锈钢冷轧板板形检测系统国产化研发,利旧原有板形辊,研制NPS-8国产板形旋转变送器,同时开发板形信号处理系统(采用电荷放大、多通道无线传输、变包角补偿技术),完成与机组主控系统ABBPLC的通信适配,搭建护眼显示界面并实现信号记录回放。在厂内某机组1个月的在线测试中,该系统720h稳定运行率 100% ,板形检测精度 ?1 Iunit,成功替代进口板形控制器,实现技术突破并满足工业生产需求。
摘要:为高效、精准地实现堆芯中子通量测量系统的功能性能测试验证,研究设计了一种集成化堆芯中子通量测量系统测试设备。测试设备由主控制器模块、微电流模块、以太网通信模块和上位机组成,具备200路RS485通信输出功能,可同时实现200路堆芯中子探测器电流信号的网络模拟输出。此外,测试设备通过采用自动化控制方式实现20路微电流自动输出作为被测设备的信号源,输出电流范围达7个量级,最低直流电流输出达 10-10A ,电流输出误差小于 0.3% 。测试设备具备以太网通信功能,可实时采集堆芯中子通量测量系统的测量结果和设备状态信息,并自动对堆芯中子通量测量系统测试过程中的数据进行集中分析、处理、判断及结果显示。测试设备具备KVM人机交互功能,可通过测试设备向堆芯中子通量测量系统下发自检或绝缘检测指令,并通过显示界面查看堆芯中子通量测量系统设备当前状态信息及测试结果,具备良好的人机交互能力。
摘要:针对莲藕采收劳动强度大、效率低且莲藕易损伤等问题,设计了一种基于水射流冲刷的莲藕采收装备。该装置以浮式平台为载体,采用叶轮差速前进与转向,通过丝杆升降和行星齿轮传动实现喷嘴高度和方向自适应调节,同时集成了储存与自动卸料装置,实现采收一体化作业。建立喷嘴伯努利方程与连续性方程,对喷嘴流速、流量及射流功率进行理论计算与参数校核。制作样机并开展喷管静止、定高旋转、高度动态调节/全角度旋转三种工况的试验,结果表明优化工况可有效缩短冲刷时间、扩大覆盖宽度并保持较高莲藕完整率。
摘要:X波段超窄脉冲调制信号源主要是以FPGA+DAC的技术方式产生基带脉冲调制信号,通过两次上变频将基带信号搬移至X频段,采用电调 + 数控衰减器的方式实现大动态范围的功率控制,具有脉宽窄、功率动态范围宽等优点。现采用 FPGA+DAC+ 二级变频 + 衰减的设计方案实现X波段超窄脉冲调制信号源,重点阐述了X波段超脉冲调制信号源设计方案及各主要单元的组成与功能,并对脉冲宽度及上升/下降沿时间、脉冲功率范围及误差等关键指标进行分析,同时给出了X波段超窄脉冲源控制单元的软件控制流程和上位机软件功能组成,最后给出了X波段超窄脉冲调制信号源组成模块、整机实物图以及实测脉冲调制信号的频域和时域波形,通过对比测试数据结果可知其满足指标要求。
摘要:针对船舶除锈人工作业存在的效率低、污染大、有健康安全隐患等问题,设计了一种磁吸式除锈机器人。该机器人采用“2驱动轮 +1 从动轮”的方案,驱动轮用永磁间隙吸附,从动轮用永磁吸附,搭载超高压水射流除锈喷枪和真空回收管路,可通过遥控模式和自主模式完成除锈作业。实验结果表明,该机器人替代人工进行船体外壁除锈,能够大幅提升除锈效率,减少污染,降低作业风险。
摘要:随着物联网设备激增带来的海量数据处理需求,如何针对异构实时性要求构建高效的数据分级处理机制已成为关键挑战。鉴于此,针对嵌入式环境下分布式数据管理系统,从架构、优先级、消息分发、交互四个方面对数据处理与响应方法进行设计,实验结果验证了设计的可行性。
摘要:N型热电偶是一种性能较K型热电偶更为优越的温度传感器,由于其耐辐照性能还未得到充分验证,因此N型热电偶目前尚未在反应堆堆内测温中应用。根据以往的实验研究以及实际辐照水平的分析,瞬时辐照下的测温性能是决定N型热电偶堆内应用的关键因素。通过对反应堆堆内主要辐照源的分析,中子和γ射线对热电偶测温影响最大。基于热电偶模型的理论计算和相关文献表明,辐照对热电偶的影响主要是电流效应。鉴于此,开展了辐照试验装置的设计,并对N、K型热电偶进行不同辐照水平下的中子和y射线辐照试验。通过分析辐照试验结果,得出瞬时辐照对N型热电偶测温性能影响的规律,验证了瞬时辐照下N型热电偶性能优于K型热电偶。
摘要:随着白酒行业的快速发展及消费者对产品信息透明度的需求提升,喷码在保障品牌效益与市场竞争力中的作用日益凸显。激光喷码机作为一种现代高科技产品,已逐渐取代传统的喷码设备成为白酒行业一种更具发展潜力的喷码工具。鉴于此,首先系统阐述了激光喷码机的核心组成及工作原理;其次,总结了设备参数、打印距离、喷印角度等因素对喷印质量的影响;之后,将激光喷码机与传统的油墨喷码机进行对比,凸显出激光喷码机在喷印效果、环保、安全等多个维度的显著优势;最后,展望了激光喷码机未来的发展方向。该研究为白酒生产企业在喷码设备的选择和应用上提供了科学依据,为激光喷码机在白酒生产企业中的进一步应用与优化提供了理论参考,有助于提高生产效率和产品质量,助力白酒行业高质量发展。
摘要:针对110kV输电线路检修中传统牵引方法受绝缘子破损影响、效率低下的问题,对便携式充电绞磨机在110kV输电线路检修中的应用展开研究。首先根据线路状态获取待检修模糊等级,设定采样间隔并进行数据清洗与异常融合处理,进而分配检修状态分量,采用多层次分析方法确定检修风险排序,构建检修模型。在此基础上,利用便携式充电绞磨机实施牵引作业,包括设备布置、滑轮组安装、牵引执行等步骤。实验结果表明,该方法在不同检修点位下的牵引效率均高于 90% ,具备良好的可行性与高效性,适用于实际工程检修任务。
摘要:地铁车辆牵引与制动系统是地铁运行的核心组成部分,其可靠性直接影响列车运行安全、效率和可靠性。该系统故障可能导致严重后果,包括运营中断、事故和经济损失。鉴于此,采用故障模式、影响与危害度分析(FMECA)方法,对地铁车辆牵引与制动系统的故障模式进行了系统分析,识别关键故障模式,评估其影响,并提出针对性维修策略。通过案例分析,验证了FMECA方法在地铁车辆维护中的应用效果,为提升系统可靠性和降低维护成本提供了理论依据与实践指导。
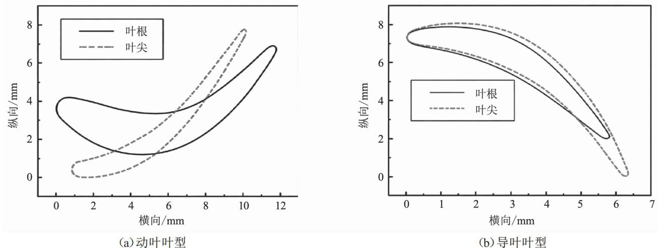
摘要:对某单级微型透平(MicroTurbine)热痕迁移行为进行数值模拟研究,通过理论和流场分析相结合,揭示了微型透平中的“热沉降"和“热迁移"现象。结果表明,在微型透平导向器流道中,热痕会因热沉降向轮毂面迁移约1. 1% 叶身高度。而在动叶通道中,热痕在周向上主要表现为向压力面运动,热迁移距离约为栅距的40. 1% ;径向上,热痕迁移受多种因素影响,除热沉降以外,还有端壁附面层挤压和间隙泄漏流抽吸作用,综合效果使吸力面热痕几乎不发生热沉降。
摘要:围绕395BI电铲大臂天轮耳座变形问题展开研究,详细剖析了耳座变形的原因,介绍了具有创新性的矫正补孔维修方案,阐述了实施过程中的工艺技术难点及解决措施,包括切割、矫正、焊接等具体工艺步骤和参数。通过该创新维修工艺,有效解决了设备故障,降低了检修成本,提高了设备出动率,为同类设备的维修提供了可借鉴的宝贵经验。
摘要:对立铣刀高速端铣加工时几何因素和物理因素对表面粗糙度的影响进行了研究。建立了立铣刀进行端铣时的加工残留面积高度模型,分析了切削过程中加工残留面积高度的变化规律,推导出了加工残留面积高度的计算公式;研究了端铣加工在径向切削方向上的刀具-零件相互作用情况,包括“切入犁耕区”“切出犁耕区”“剪切区”内由于切削厚度变化而产生的犁耕作用和剪切作用。切削试验结果表明,由加工残留面积高度计算的理论粗糙度值在主切削转速区与实测值拟合较好,在低转速区和高转速区差别较大,原因是主切削转速区的零件切削以剪切作用为主,加工残留面积高度对粗糙度起主要作用,而低转速区和高转速区的表面粗糙度受犁耕作用的影响更大。
摘要:数控加工是现代高端制造业实现高精度、高效率生产的核心技术,零件表面质量直接决定其疲劳寿命、配合精度与使用性能,而切削参数是调控表面质量的关键变量。鉴于此,以切削参数与表面质量的关联机制为研究核心,以抽油机C456D-256-144JP连杆销等实际零件加工为案例,证实优化后的切削参数可显著改善表面质量。该研究对保障高端装备零件加工质量具有重要意义。